Wichtige Gütemerkmale in der Lichtplanung sind Flimmerfreiheit und das Vermeiden von Stroboskopeffekten. Visuell wahrnehmbares Flackern offenbart sich unmittelbar als Mangel. Doch auch ein Flackern mit hoher Frequenz, außerhalb des visuell wahrnehmbaren Bereichs, sollte man nicht vernachlässigen. Untersuchungen zeigen, dass auch diese Art des Flimmerns Auswirkungen auf den menschlichen Organismus haben kann.
Was versteht man unter Flackern oder Flimmern?
Flackern oder Flimmern (engl. flicker) beschreibt eine sich schnell ändernde Helligkeitserscheinung, die je nach Frequenz visuell wahrnehmbar sein kann oder nicht. Im Extremfall können Frequenzen bis ca. 80 Hz mit dem Auge erkannt werden, man spricht hier von der Flimmerverschmelzungsfrequenz. Wahrgenommenes Flackern bzw. Flimmern kann vom Beobachter als sehr störend empfunden werden. Als Ausnahmeerscheinung kann es auch Auslöser fotosensitiver epileptischer Anfälle sein.
Die Historie der künstlichen Beleuchtung: Eine Historie des Flackerns
Mit Einführung des 50 Hz-Wechselstroms um 1900 wurde der Grundstein für die Flimmerproblematik gelegt. Beim direkten Betrieb an Wechselspannung wird das Leuchtmittel 100-mal in der Sekunde periodisch ein- und wieder ausgeschaltet. Durch das Nachleuchten des damals verwendeten Kohlefadens und der späteren Glühwendel spielte diese Thematik im Zeitalter der Temperaturstrahler keine Rolle. Problematisch wurde dieser Punkt erst durch die Entwicklung von Gasentladungslampen. Durch die geringere Trägheit des Gases im Vergleich zur Glühwendel konnte Flimmern beim Betrieb am konventionellen Vorschaltgerät (KVG) mit 50 Hz für empfindliche Personen wahrnehmbar werden. Mit der Entwicklung der elektronischen Vorschaltgeräte (EVG) für Gasentladungslampen Anfang der 1980er Jahre galt dieses Problem als gelöst, da hier Betriebsfrequenzen im Bereich von 30.000–40.000 Hz zur Anwendung kamen.
Allerdings hat Flimmern mit der Etablierung der Halbleiter zu Beleuchtungszwecken wieder an neuer Bedeutung gewonnen, da LEDs wiederum eine geringere Trägheit als Gasentladungslampen aufweisen. Halbleiter reagieren im Bereich von ca. 300 Mikrosekunden. Die blitzschnelle Reaktion der LED, die man sich beim Betrieb mit Pulsweitenmodulation (PWM) zu Nutze macht, wird ihr aber gerade in Bezug auf die gewünschte Flimmerfreiheit zum Verhängnis. Bei der PWM wird innerhalb eines kurzen Zeitraumes periodisch die LED komplett ausgeschaltet, um danach wieder komplett eingeschaltet zu werden. Aufgrund der Trägheit des menschlichen Auges und normaler Beleuchtungsstärkemessgeräte wird dieser Vorgang als Reduktion des Lichtstroms detektiert. Typischerweise wird beim PWM-Betrieb von LED-Leuchten mit Frequenzen von 100 bis 400 Hz gearbeitet.
Vielfach werden für den Betrieb von LEDs aus Kostengründen auch sehr einfach aufgebaute Treiber verwendet, so dass sehr häufig die LEDs mit der doppelten Netzfrequenz betrieben werden (in der EU 100 Hz, in den USA 120 Hz). Dazu kommen zusätzliche Einflüsse, wie Störungen in der Netzspannung, Fehlfunktionen von Treibern und, gerade im Zusammenhang mit LED-Substituten, Wechselwirkungen mit Dimmern. Hierbei passiert es häufiger, dass LEDs visuell wahrnehmbar flackern oder auch im abgeschalteten Zustand regelmäßig Lichtblitze produzieren.
Die IEEE 1789-2015
Auch Frequenzen im Bereich von 100–400 Hz können negative Auswirkungen auf den menschlichen Organismus haben, wie die Ende 2015 erschienene IEEE 1789 mit dem Titel Recommended Practices for Modulating Current in High-Brightness LEDs for Mitigating Health Risks to Viewers erläutert. Bereits seit 2008 beschäftigt sich eine Arbeitsgruppe innerhalb der IEEE mit Flimmern bei LED-Beleuchtungsanlagen. Von der IEEE ist diese Empfehlung als Grundlage für weitere Normungen, z. B. im Bereich der CIE oder IES gedacht.
Frequenz, Flicker Index und Modulation
Neben der Frequenz, die unterhalb von 80 Hz zu wahrnehmbarem Flimmern führen kann, sind sowohl der Flicker Index (FI) als auch die Modulation (Mod %) als weitere Kriterien zur Beurteilung des Flimmerns aufgeführt. Der FI, welcher mittlerweile auch schon in einigen Datenblättern von LED-Leuchten zu finden ist, stellt auch kleinere Schwankungen in der Schwingung dar. Dabei wird für eine komplette Periode der Mittelwert gebildet und anschließend verglichen, wie groß der Bereich anteilig oberhalb des Mittelwerts ist.

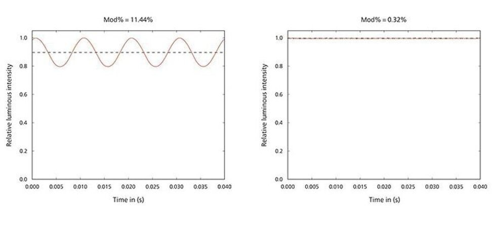
Die Modulation ist auch als Michelson Kontrast bekannt und beschreibt den Abstand zwischen Minimum und Maximum einer Schwingung. So wäre eine Rechteckschwingung, wie z. B. bei einem Betrieb mit PWM, nahezu 100%, da die LED bei vollem Betriebsstrom ständig ein- und ausgeschaltet wird. Im Vergleich dazu hat eine Halogenglühlampe bei Netzspannung einen Mod % von ca. 10 %. Mit Gleichstrom (CCR) betriebene LEDs weisen praktisch keinen Mod % auf, wie die Messungen im DIAL-Labor gezeigt haben.

Darüber hinaus gibt es weitere Verfahren, die z. B. mit Hilfe von Fourier-Transformationen genauer bestimmen, wie die Form der Schwingung aussieht. Diese werden in der IEEE allerdings nicht näher betrachtet.
Messungen im DIAL-Labor
Die pauschale Bewertung von LED-Produkten ist nicht möglich, da es eine sehr große Bandbreite mit Produkten unterschiedlicher Frequenzen und Modulationen am Markt gibt. Um einen Eindruck zu gewinnen, wie groß die Bandbreite ist, wurde im akkreditierten Lichtlabor von DIAL eine Auswahl von Lampen verschiedener Hersteller bezüglich ihrer Flimmereigenschaften untersucht:
1. Halogen Hochvoltglühlampe (46 W, 700 lm, E 27)
2. Halogen Niedervoltglühlampe (35 W, 620 lm, GU 5.3)
3. Kompaktleuchtstofflampe (15 W, 820 lm, 2.500 K, E 27)
4. LED Retrofit (18 W, 1.521 lm, 2700 K, dimmbar, E 27)
5. LED Retrofit (10 W, 806 lm, 2.700 K , E 27)
6. LED Retrofit (4 W, 235 lm, 2700 K, GU 10)
7. LED Retrofit (5 W, 250 lm, 2700 K, GU 10)
8. LED Retrofit (10,4 W, 3.000 K, 390 lm, GU 10)


Alle Lampen wurden an einer stabilisierten elektrischen Versorgung betrieben, um etwaige Netzstörungen ausschließen zu können. Gut zu erkennen ist, dass alle untersuchten Produkte mit einer Frequenz von ca. 100 Hz flimmern, die Bandbreite der Modulation aber bei gleicher Frequenz zwischen <1 % und >90 % schwankt.
Auswirkungen auf den menschlichen Organismus
Die sich durch flimmernde Leuchten ergebenden Symptome und Auswirkungen sind abhängig von verschiedenen Faktoren und können individuell sehr unterschiedlich ausfallen. Die IEEE 1789 teilt diese daher grundlegend in verschiedene Kategorien ein und unterzieht sie anschließend einer Gefährdungsanalyse, die beschreibt, mit welcher Wahrscheinlichkeit eine der bekannten Auswirkungen eintritt. Die Einteilung dieser Auswirkungen basiert in erster Linie auf ihrer Frequenz, da diese Zusammenhänge bisher am besten erforscht und bekannt sind. Die Modulation spielt meistens auch eine Rolle, in der Empfehlung wird aber häufig auf die Nennung konkreter Werte verzichtet. Aus den bisherigen Erkenntnissen der Empfehlung wird jedoch klar, dass die Modulation bei höheren Frequenzen eine größere Rolle spielt. Der FIicker Index wird in der IEEE jedoch nicht näher betrachtet. Grob werden die Auswirkungen in drei Kategorien unterteilt:
1. Visuell wahrnehmbares Flackern
Dieses beschreibt Flackern mit einer Frequenz von ca. 3–70 Hz, wobei für den oberen Wert die Flimmerverschmelzungsfrequenz entscheidend ist, die üblicherweise zwischen 60 Hz und 80 Hz liegt. Eine direkte Auswirkung, auch bei sehr kurzer Exposition, können Krampfanfälle, ausgelöst durch fotosensitive Epilepsie, sein, an der ca. 0,1 % der Bevölkerung leidet. Bei länger andauernder Exposition sind starke Kopfschmerzen und eingeschränkte Sehfähigkeit, auch bei ansonsten unempfindlichen Personen, möglich.
Allerdings führt nicht jede mit 50 Hz betriebene Leuchte direkt zu einem epileptischen Anfall. Reize zwischen 15–20 Hz bringen die höchste Wahrscheinlichkeit mit sich, einen Anfall auszulösen. Auch spielen die Modulation, die im Sichtfeld eingenommene Fläche, die Leuchtdichte und die Lichtfarbe eine Rolle. Am bekanntesten ist der sogenannte Pokémon-Incident, bei dem es während einer Ausstrahlung der Zeichentrick-Fernsehserie Pokémon in Japan Ende 1997 eine ca. 4 Minuten lange Sequenz mit sehr starken Reizen gab. In diesem Fall war es der großflächige Wechsel von Rot und Blau mit einer Frequenz von ca. 12 Hz. Als Folge dieser Ausstrahlung kam es zu ca. 700 bekanntgewordenen epileptischen Anfällen, ca. 650 davon bei Kindern. Mit abnehmender Leuchtdichte sinkt allgemein die Gefahr, epileptische Anfälle auszulösen. Im mesopischen und skotopischen Bereich, also während des Nacht- und Dämmerungssehens, besteht praktisch keine Gefahr, weil hier die Flimmerverschmelzungsfrequenz auf 15 Hz bzw. 6 Hz sinkt.
2. Unbewusst wahrgenommenes Flackern
Oberhalb der Flimmerverschmelzungsfrequenz wird das Flackern nicht mehr bewusst wahrgenommen, aber es kann weiterhin Auswirkungen in unserem neurologischen System haben. Das hängt damit zusammen, dass der Sehnerv und der visuelle Cortex, je nach Modulation und Wellenform, noch Reize bis 160 Hz detektieren. In der Retina selbst wurden bei Untersuchungen noch Reize bis 200 Hz wahrgenommen. Nachgewiesene Auswirkungen können Kopfschmerzen, Migräneanfälle und Erschöpfungserscheinungen sein, andere Untersuchungen zeigen auch eine Einschränkung der Lesefähigkeit bzw. eine generell verringerte Sehleistung, durch eine Beeinträchtigung der horizontalen Augenbewegung. In einer Studie wurde ein erhöhtes Kopfschmerzrisiko noch bei 100 Hz mit einer Modulation >35% beobachtet. Ein Nebeneffekt ist, dass es zu einer Verschiebung der Wahrnehmungsschwelle für bewusst wahrgenommenes Flackern kommt. So scheint diese bei längeren Expositionszeiten zu steigen, so dass Flackern erst bei geringeren Frequenzen bewusst wahrgenommen wird.
3. Gefahren durch Stroboskopeffekte
Bis in den Bereich von ca. 2,5 kHz kann es durch die Überlagerung von verschiedenen Schwingungen zu Stroboskop- oder Perleffekten kommen. Gerade bei schnelldrehenden Maschinen kann es zu dem Eindruck kommen, dass die Maschine stillsteht, was zu einem erhöhten Verletzungsrisiko führen kann. Uneingeschränkt empfohlen wird ein Betrieb der LED bei über 3 kHz, weil es hier zu keinen nachweisbaren Auswirkungen mehr kommt. Darunter wird ein Grenzwert in Abhängigkeit zwischen Frequenz und Modulation formuliert. Grundsätzlich sollte, unabhängig von der zugrunde liegenden Betriebsfrequenz, eine möglichst kleine Modulation angestrebt werden, auch wenn mit steigender Frequenz eine höhere Toleranz angenommen wird. Dies wird in der folgenden Grafik als Funktion aus Frequenz und Modulation erläutert:

Von fast allen Auswirkungen des Flackerns auf den menschlichen Organismus ist bisher die Frequenz eingehend, und die Modulation nur grundlegend, untersucht worden. Es mehren sich jedoch die Hinweise, dass die Form einer Schwingung auch einen Einfluss haben könnte. Von daher besteht eine Wahrscheinlichkeit, dass sich in Zukunft noch weitere Kennzahlen etablieren könnten. Die IEEE selbst versteht die Empfehlung in erster Linie als Denkanstoß für eine weitere Normierung und sieht weiterhin einen großen Forschungs- und Weiterentwicklungsbedarf.
Fazit
Keine Frage: In Bezug auf die Bewertung von Flackern und Flimmern von LED-Lichtquellen befinden wir uns noch ganz am Anfang. Sowohl die Frequenz als auch die Modulation sollten Eingang in die Datenblätter von Lampen und Leuchten finden – auch wenn diese Werte nicht die komplette Wirkung auf den menschlichen Organismus darstellen können. Hierbei sollte beachtet werden, dass auch eine Frequenz von 100–400 Hz, mit der heute viele LED-Leuchten betrieben werden, möglicherweise negative Auswirkungen auf den menschlichen Organismus hat. Auch dann, wenn man das Flackern in diesen Bereichen nicht unmittelbar visuell wahrnimmt.
Die gesündeste Beleuchtung ist sicher eine, die gar nicht flackert. So, wie es uns die Natur in Form des Tageslichtes vormacht. Weitere Forschung in diesem Bereich ist notwendig und wird mit Sicherheit in Zukunft zusätzliche Kriterien und Qualitätsmaßstäbe definieren. Mit den Empfehlungen der IEEE 1789 wurde immerhin der Anfang gemacht, und Hersteller wie Planer sollten bei der Erstellung neuer Produkte und Beleuchtungsanlagen den Versuch starten, diese Empfehlungen zu berücksichtigen.
Auf der Light & Building 2016 war zu erkennen, dass schon bei vielen Herstellern in Bezug auf Flackern und Flimmern von Beleuchtung ein zumindest grundlegendes Bewusstsein besteht. So waren Produkte ausgestellt, die mit flickerfree beworben wurden. Teilweise waren auch der Flicker Index und die Modulation angegeben.
